Afwijkingen in de schildklierfunctie zijn veel voorkomende endocriene stoornissen die 5-10% van de personen gedurende een levensduur treffen. Klinische symptomen en tekenen zijn vaak niet-specifiek. De diagnose en monitoring van de therapie hangt af van metingen van schildklierhormonen en TSH in het bloed.
Kleine afwijkingen in de schildklierfunctie met subklinische hypothyreoïdie of hyperthyreoïdie komen nog vaker voor dan hypo- en hyperthyreoïdie. Zowel subklinische hypothyreoïdie als hyperthyreoïdie zijn geassocieerd met een toename van het risico op ziekte en afwijkingen. Biochemische en fysiologische maatregelen zijn vaak abnormaal bij patiënten met openlijke schildklieraandoeningen. Toch wordt besproken in hoeverre subklinische schildklieraandoeningen moeten worden behandeld.
Subklinische schildklierziekte wordt gedefinieerd door hoog of laag serum TSH met T4 en T3 binnen laboratorium referentiebereiken. Een belangrijke kwestie is of serumconcentraties van T4 en T3 normaal zijn voor het individu in subklinische schildklieraandoeningen.
Populatiegebaseerde referentiebereiken voor serum T4 en T3 zijn vrij breed vanwege grote verschillen in schildklierfunctietests bij normale proefpersonen. Deze verschillen worden veroorzaakt door analytische en biologische variatie. Biologische variaties bestaan tussen individuen en binnen individuen, waarbij de laatste worden gekenmerkt door ritmische aberraties van meerdere frequenties variërend van 30 minuten tot 365 dagen.
Over het algemeen zijn populatiegebaseerde referentiebereiken van beperkte waarde voor de interpretatie van metingen in het individu als de variatie binnen individuen klein is, vergeleken met variatie tussen individuen. Dit kan ertoe leiden dat testresultaten die abnormaal zijn voor het individu onopgemerkt blijven binnen het brede groepsreferentiebereik.
Eerdere studies naar de biologische variatie in schildklierfunctietests werden uitgevoerd onder gestandaardiseerde omstandigheden gedurende kortere perioden. Daarom moet het klinische belang van variatie in schildklierfunctietests nog worden verduidelijkt.
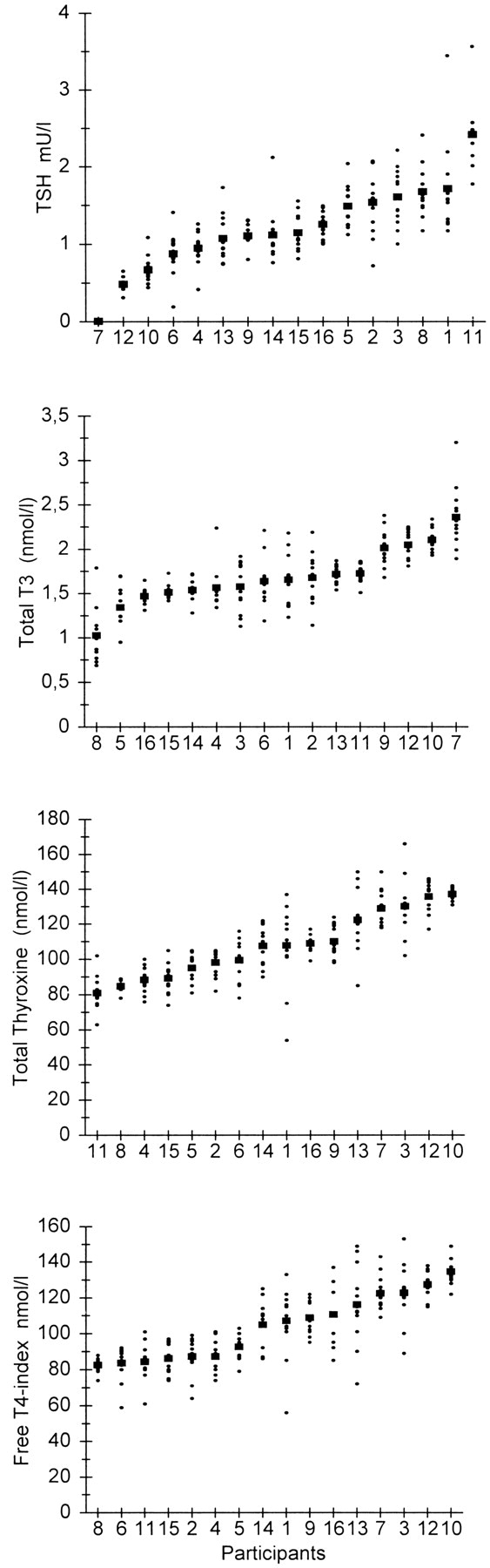
Andersen e.a. schatten biologische [d.w.z. binnen (intra-) en tussen (inter-) individuele] variatie in schildklierfunctietests gedurende een periode van 12 maanden in een groep gezonde mannen in een routinematige laboratoriumomgeving. Dit werd gebruikt om het nut van populatiegebaseerde referentiebereiken voor serum TSH, totaal T3, totaal T4 en vrije T4-index (FTI) te beoordelen. Daarnaast berekenden ze het aantal tests dat nodig is om het individuele instelpunt met bepaalde betrouwbaarheidsniveaus te schatten en het verschil dat nodig is tussen twee hormoonwaarden voor significantie bij herhaalde tests van een individu.
Stig Andersen, Klaus Michael Pedersen, Niels Henrik Bruun en Peter Laurberg
Subklinische schildklierziekte wordt gedefinieerd door hoog of laag serum TSH met T4 en T3 binnen laboratorium referentiebereiken. Een belangrijke kwestie is of serumconcentraties van T4 en T3 normaal zijn voor het individu in subklinische schildklieraandoeningen.
Populatiegebaseerde referentiebereiken voor serum T4 en T3 zijn vrij breed vanwege grote verschillen in schildklierfunctietests bij normale proefpersonen. Deze verschillen worden veroorzaakt door analytische en biologische variatie. Biologische variaties bestaan tussen individuen en binnen individuen, waarbij de laatste worden gekenmerkt door ritmische aberraties van meerdere frequenties variërend van 30 minuten tot 365 dagen.
Over het algemeen zijn populatiegebaseerde referentiebereiken van beperkte waarde voor de interpretatie van metingen in het individu als de variatie binnen individuen klein is, vergeleken met variatie tussen individuen. Dit kan ertoe leiden dat testresultaten die abnormaal zijn voor het individu onopgemerkt blijven binnen het brede groepsreferentiebereik.
Eerdere studies naar de biologische variatie in schildklierfunctietests werden uitgevoerd onder gestandaardiseerde omstandigheden gedurende kortere perioden. Daarom moet het klinische belang van variatie in schildklierfunctietests nog worden verduidelijkt.
Andersen e.a. schatten biologische [d.w.z. binnen (intra-) en tussen (inter-) individuele] variatie in schildklierfunctietests gedurende een periode van 12 maanden in een groep gezonde mannen in een routinematige laboratoriumomgeving. Dit werd gebruikt om het nut van populatiegebaseerde referentiebereiken voor serum TSH, totaal T3, totaal T4 en vrije T4-index (FTI) te beoordelen. Daarnaast berekenden ze het aantal tests dat nodig is om het individuele instelpunt met bepaalde betrouwbaarheidsniveaus te schatten en het verschil dat nodig is tussen twee hormoonwaarden voor significantie bij herhaalde tests van een individu.
Tot slot
Concluderend vonden ze dat individuele referentiebereiken voor serum T3 en T4 ongeveer de helft van de breedte van populatiegebaseerde referenties bereiken. Daarom is een testresultaat binnen de laboratoriumreferentielimieten niet noodzakelijkerwijs normaal voor het individu. Serum TSH buiten het populatiegebaseerde referentiebereik geeft aan dat serum T3 en serum T4 niet normaal zijn voor het individu.

Reacties
Een reactie posten